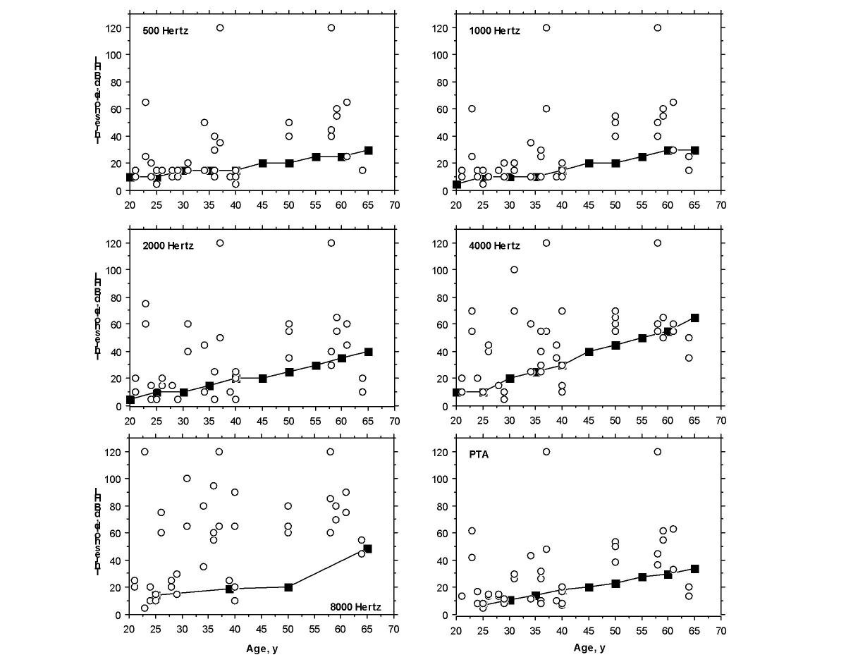
Figure 2

Comparison of thresholds for 20 Fabry hemizygotes, aged 25 years and older (circles), with 95th percentile data (squares) from the International Organization for Standardization 1990 standards for 0.5, 1, 2, 4 frequencies and PTAs or, for 8 kHz, with the 90th percentile. dB HL indicates decibel hearing level.